Cool Tricky Physics Problems Ideas
Cool Tricky Physics Problems Ideas. This page demonstrates the process with 20 sample problems and. Sep 27, 2021 • 1h.

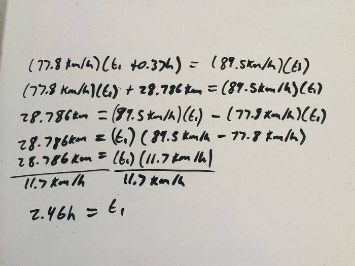
Kinematic equations relate the variables of motion to one another. 5] to study the motion of a ball down a curved runway the apparatus shown below was set up.the ball is released at various points along the runway. The physics course is delivered in english.
Determine The Pump's, A) Flow Rate, B) Developed Head And, C) Pump Power If.
Viewed 1k times 0 2 $\begingroup$ closed. Each equation contains four variables. The height above the table at each point is h.when it reaches the bottom it travels through the air and the point where it hits the floor is marked.
They Were Tricky And Interesting.
Kinematic equations relate the variables of motion to one another. A city planner is working on the redesign of a hilly portion of a city. If an object is heavier the force of gravity is greater, but since it has greater mass the acceleration is the same, so it moves at the same speed (if we neglect air resistance).
Work Notes Work Assignments Kinetic Energy.
Mukesh tekwani, a retired college teacher with 35 years of experience, discussed this in his 2020 blog post , arguing that once you know why students find topics difficult, you can work your way to make them easy, interesting, and useful. Start date feb 24, 2007; Truly tricky graduate physics problems with solutions.
Understand The Concept Of Some Tricky Problems On Friction With Iit Jee Course Curated By Syed Sameer On Unacademy.
Textbook homework problems too often do not challenge student ingenuity and do not require the exercise of insight and creativity in their solution. Amesha on march 07, 2018: If values of three variables are known, then the others can be calculated using the equations.
There Are Two Weights Of The Same Mass Of \(2.0~\Mathrm{Kg}\) Attached To A String Looped Over A Braked Pulley.
Students can often solve them by plugging numbers into a. Tricky atwood machine task number: 53) how is sound produced in a flute?