Review Of Infinite Sequences And Series 2022
Review Of Infinite Sequences And Series 2022. The infinite sequence is represented as (∑) sigma. 1 2 , 1 4 , 1 8 , 1 16 ,.

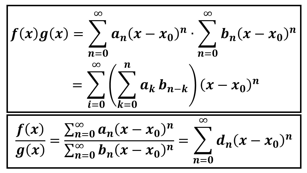
Infinite sequences and series in this respect, testing series is similar to integrating functions. In power series, we keep the index n as before and introduce powers of x, i.e. When we have an infinite sequence of values:
1 + 2 + 3.
11.7 strategy for testing series The sum of an infinite sequence is called an infinite series. The problem of finding the values of x for which sequences of this form converges is beyond the scope of this book.
We Will Discuss If A Series Will Converge Or Diverge, Including Many Of The Tests That Can Be.
Now, we will see the standard form of the infinite sequences is. One kind of series for which we can nd the partial sums is the geometric series. Consider the series 1 5 2 1 5 1 1 25.
Since This Is A Geometric Series, You Can Find The Sum Of The First 100 Terms By Using The Formula Sn A 1 1 N A R 1R, Where R 1 5.
We will often write sequences as a {n} n=1 ∞=a {n} n∈. The partial sums of the series are given by. 1 2 , 1 4 , 1 8 , 1 16 ,.
He Develops The Theory Of Infinite Sequences And Series From Its Beginnings To A Point.
A sequence (or an infinite sequence) is a function f: Infinite sequences and series miguel a. As useful as sequences and series are, the real power in series comes when we introduce a variable x into the series.
Infinite Sequences And Series In This Respect, Testing Series Is Similar To Integrating Functions.
If the partial sums {sn} converge to l as n → ∞, then we say that the infinite series converges to l: Let {an} be a sequence. The sum of infinite terms that follow a rule.